北京百泰派克生物科技有限公司品牌商

9

手机商铺

qrcode
商家活跃:
产品热度:
  • NaN
  • 0
  • 0
  • 2
  • 2
品牌商

北京百泰派克生物科技有限公司

入驻年限:9

  • 联系人:

    李经理

  • 所在地区:

    北京 大兴区

  • 业务范围:

    技术服务

  • 经营模式:

    生产厂商

在线沟通

技术资料/正文

蛋白质n端序列分析

78 人阅读发布时间:2025-04-20 11:41

蛋白质合成从N端开始,蛋白质N端的序列组成对蛋白质的整体生物学功能有影响。例如,N末端序列影响蛋白质的半衰期,并与蛋白质亚细胞器的位置相关。蛋白质N端测序分析有助于分析蛋白质的高级结构,揭示蛋白质的生物学功能。随着现代医药工业的发展,出现了大量的蛋白质、多肽类药物分子。这些蛋白质药物分子N端序列的分析和确认也是制药行业质量控制的重要环节。N端区域也是蛋白质和肽的重要结构和功能位点,大多数蛋白质可以通过N端的少数氨基酸残基来识别。例如,蛋白质、肽类药物N端人工修饰位点的鉴定,如环化修饰、甲基化修饰等,可以为提高其降解稳定性、延长药效奠定基础。

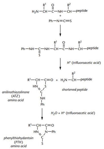
埃德曼降解

Edman降解测序原理

Edman降解是一种非常成熟且经典的蛋白质和肽N端测序方法,广泛应用于生物技术领域。Edman降解测序的原理主要是指通过循环反应从蛋白质的N端一一识别氨基酸类型,从而确定蛋白质的N端序列。异硫氰酸苯酯(PITC)在碱性条件下与待分析肽的N端氨基反应生成苯胺硫代甲酰胺衍生物,然后将偶联产物用酸处理。肽链的 N 末端被选择性裂解,释放出该氨基酸残基的噻唑啉酮苯胺衍生物。提取的氨基酸衍生物在强酸性条件下转化为稳定的乙内酰脲硫脲氨基酸(PTH-氨基酸),降解的PTH-氨基酸种类可以使用HPLC或电泳进行分析,以获得蛋白质或肽的N端序列信息。

Edman降解测序的优点

Edman降解方法已被广泛用作现有蛋白质样品N端序列检测的金标准。它是整个纯化蛋白 N 端序列分析的有价值的研究工具和最可靠的测序方法。

Edman降解测序的缺点

Edman降解法受到很多限制,如用于序列分析的蛋白质或肽必须是高纯度的,不适合高通量分析,灵敏度不够。

技术资料图片1

图1. 多肽 Edman降解法 N 末端测序

基于质谱的蛋白质N端序列测序技术可以一次同时测定多个蛋白质N端序列,特别是电喷雾电离(ESI)和基质辅助激光解吸/电离飞行时间(MALDI-TOF)。高灵敏度、高精度、高分辨率、高通量的生物质谱技术为蛋白质N端测序提供了重要工具。基于质谱的N端测序技术可以实现N端封闭和聚乙二醇化蛋白的序列测定,与Edman测序互补。

技术资料图片2

图2.通过质谱法识别和测序 N 末端的工作流程

N端肽的许多研究方法采用质谱技术与多种化学方法和生物酶法相结合。例如,通过侧链氨基的还原、烷基化和胍基化来封闭蛋白质。游离的 N 末端用不同的生物素试剂标记。标记蛋白用胰蛋白酶消化后,通过亲和素亲和系统分离标记的N端肽,然后通过MALDI-TOF/MALDI-TOF-PSD MS从头测序,获得N端肽的序列。

技术资料图片3

图2. 化学标记/质谱工作流程

随着经典方法、基于质谱的各种化学修饰以及酶辅助技术的不断发展和完善,蛋白质N端序列分析获得了丰富的序列信息,为加速末端肽鉴定提供了有力的依据。复杂生物系统中数千种蛋白质的N端测序分析技术仍然是我们面临的巨大挑战,尤其是大规模更详细地测定N端修饰多样性,还需要更有针对性的研究策略。

资料格式:

1911971460898476032-nrsc2073.jpg

查看详细文档

上一篇

微量蛋白质组学分析技术

下一篇

n-糖基化组学

我的询价